2025年福清市幼儿园秋季招生政策解读,新规亮点与报名指南

福州 更新于:2025-07-19 10:25
  • 爱在心底

    2025年福清市幼儿园秋季招生政策解读如下:
    一、新规亮点
    1. 公办幼儿园优先招收符合条件的新生,确保每个符合条件的幼儿都有入园机会。
    2. 鼓励民办幼儿园提供优质教育资源,提高民办幼儿园的教育质量。
    3. 严格规范招生行为,严禁公办幼儿园违规招生、违规收费。
    4. 加强对幼儿园招生工作的监督,确保招生公平、公正、公开。
    5. 优化招生程序,提高招生效率。
    二、报名指南
    1. 报名时间:根据福清市教育部门统一安排,具体报名时间请关注当地幼儿园公告。
    2. 报名条件:
    (1)具有福清市户籍的适龄幼儿;
    (2)非福清市户籍但在福清市居住并持有居住证的适龄幼儿;
    (3)符合国家、省、市有关优待政策的适龄幼儿。
    3. 报名材料:
    (1)幼儿出生证明;
    (2)户口簿;
    (3)居住证(非福清市户籍幼儿提供);
    (4)其他相关证明材料。
    4. 报名方式:
    (1)网上报名:登录福清市教育部门指定的幼儿园招生平台进行报名;
    (2)现场报名:携带报名材料到指定幼儿园进行报名。
    5. 招生程序:
    (1)公布招生计划;
    (2)网上报名或现场报名

    举报
  • 佳佳她奶

      福清市2025年秋季幼儿园招生工作意见

      一、 基本原则 

      (一)适龄优先原则。不断优化学前教育布局,幼儿园招生要优先满足 3-6 岁适龄儿童的入园需求,鼓励有条件的幼儿园开设托班,招收 2-3 岁儿童。 

      (二)相对就近原则。根据我市各级各类幼儿园的分布情况,合理划定幼儿园招生服务片区,优先满足户籍在幼儿园招生服务片区范围内适龄儿童的入园需求。

      (三)免试入园原则。适龄儿童入园接受学前教育,除必要的身体健康检查外,幼儿园不得对其组织任何形式的考试或者测试。普惠性幼儿园应当接收能够适应幼儿园生活的残疾儿童入园。

      (四)公开透明原则。市招生委员会通过政府网及教育局微信公众号向社会公开我市幼儿园秋季招生政策、招生程序、派位结果等相关信息。各园招生公告应通过幼儿园微信公众号及在园门口醒目位置向社会发布,包括招生方式、招生范围、计划招生数、报名条件、报名时间、提交材料、收费标准、招生咨询电话等信息,规范招生入园工作流程,接受社会各界监督。

      二、入园年龄

      2025年秋季,幼儿园小班招生对象为2021 年9 月1日至2022年 8 月 31 日期间出生的年满三周岁适龄儿童。

      三、招生办法

       (一)中心城区公办幼儿园

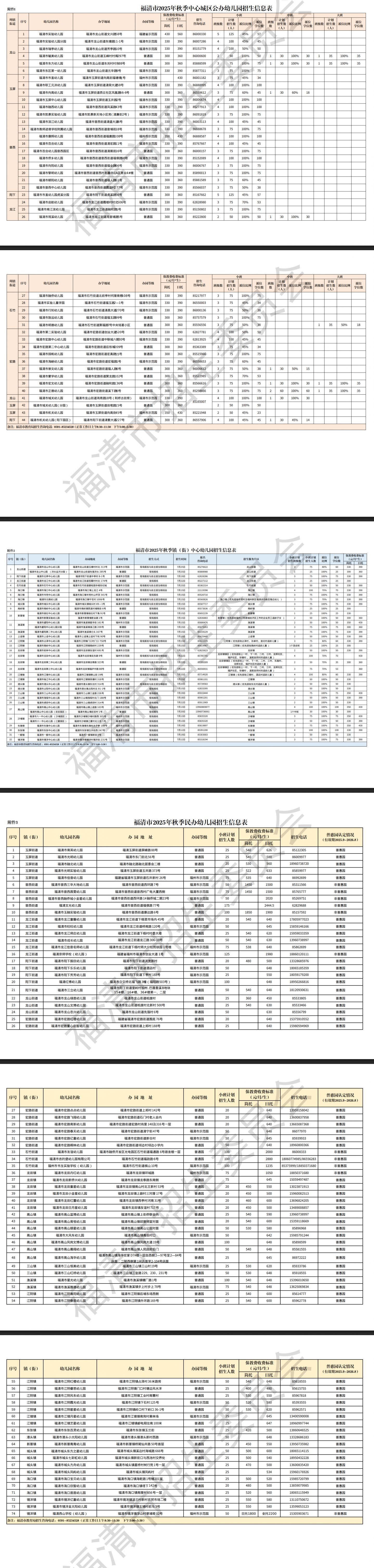
      1.招生方式:中心城区公办幼儿园实行随机派位和自主招生相结合的招生办法,随机派位方式为电脑摇号。各园将不低于计划招生数 45%比例的学位,采取家长预报名登记、电脑摇号的方式招生,剩余学位由幼儿园自主招生。鼓励有条件的幼儿园扩大派位招生比例。参加电脑摇号的44所公办幼儿园派位比例如下,其他信息详见《福清市2025年秋季中心城区公办幼儿园招生信息表》(附件1)

      

      2.招生服务片区:结合城区学前教育资源布局、公办幼儿园学位承载能力及适龄儿童数量变化趋势,将城区七个街道(玉屏、音西、宏路、石竹、龙山、龙江、阳下)所辖的全部社区、村居统一纳入中心城区公办幼儿园招生服务片区范围,全力保障适龄儿童实现相对就近入园。适龄儿童户籍迁入招生服务片区的截止时间为 2025 年 7 月 25 日(预报名开始前1 日),以户口簿登记日期为准。 

      3.报名条件及要求: 

      (1)关于电脑摇号招生

      凡户籍在招生服务片区范围内且符合条件的适龄儿童均可报名参加电脑摇号。为保证公平性,每个符合电脑摇号条件的适龄儿童仅可在 44 所参与电脑摇号的幼儿园中选择1 所进行预报名登记,凡在 2 所及以上幼儿园重复报名的,经核实后取消电脑摇号资格。每个符合电脑摇号条件的幼儿只能享受一次摇号机会,双胞胎或多胞胎共用同一个预报名编号同享一次摇号机会,并备注双胞胎或多胞胎信息,若摇号成功,将同园入读,相应名额在幼儿园原招生计划基础上同步核增(如:双胞胎录取则计划数+1,三胞胎+2,以此类推)。 

      (2)关于自主招生

      各园自主招生工作应依法依规按程序进行,由幼儿园招生工作领导小组集体研究确定录取的幼儿名单,原则上优先招收户籍在招生服务片区范围内的适龄儿童和符合相关规定的政策照顾对象,自主招生名单须报送教育局备案。

      (3)关于“长幼随学”政策

      为减轻家长接送负担,我市全面实施“长幼随学”政策。符合报名条件的适龄儿童,在申请参加其兄/姐(须为同一所幼儿园的在园就读生)所在幼儿园的电脑摇号未成功时,在自主招生中予以优先照顾。

       4.招生程序

      

      5.招生监督 

      (1)严格规范摇号流程:电脑摇号工作由福清市教育局统一组织实施,确保程序严谨、操作规范。派位全程由福清市纪委监委驻教育局纪检监察组现场监督,同时邀请融媒体中心记 者、人大代表、政协委员、街道工作人员、各参与派位幼儿园的园长及家长代表等多方参与,共同见证摇号过程,实现全流程公开透明、公正有序。 

      (2)及时公开派位结果:派位结果在现场即时打印,由各幼儿园带回并在园务公开栏进行公示,福清市教育局通过官方微信公众号向社会公发布,主动接受社会监督,保障招生工作的公信力和透明度。 

      (3)派位招生地点:设福清市实验幼儿园

      (二)镇(街)中心幼儿园

      1.招生方式:除参加城区电脑摇号招生的部分中心幼儿园及新厝实验幼儿园外,其余中心幼儿园将不低于计划招生数70%比例的学位,采取公平、公开(如电话报名、现场抽签等)的方式招生,剩余学位由各园自主招生。鼓励有条件的幼儿园扩大派位招生比例。

      2.报名条件:持各中心幼儿园招生服务片区户籍的适龄儿童。

      3.招生服务片区:详见《福清市2025 年秋季镇(街)中心幼儿园招生信息表》(附件 2)。 

      4.工作要求:

      (1)各幼儿园在招生工作启动前,须对本园招生服务片区内常住人口适龄儿童开展精准摸底。若符合报名条件的适龄儿童数不超过本园随机派位学位数的,应实行“应招尽招”,全部予以录取;若报名人数超出派位学位数的,则需通过电话报名、现场抽签等公平、公正的方式确定录取名单,确保招生过程规范有序。

      (2)各幼儿园自主招生工作须严格遵循相关政策规定,流程及要求与城区公办幼儿园一致,确保招生工作公平公正、阳光透明。 

      (3)各幼儿园招生公告须提前报送教育局审核备案,确保内容真实、准确、完整。公告最迟应在报名开始前一周面向社会公开发布,以便家长及时知悉招生信息,做好报名准备。

      (4)镇(街)中心幼儿园应于8 月8 日前完成主体招生工作。针对未完成的招生计划,各园应及时启动补招程序,对剩余学位进行动态补充招生,直至名额招满,切实保障适龄儿童的入园需求。 

      (三)小学附设幼儿园及乡村学前教育办学点

      各小学附设幼儿园及乡村学前教育办学点须成立以校长为组长的招生工作领导小组,结合区域生源及办园实际,科学制定招生方案,明确招生方式、计划招生人数、报名条件、报名时间、收费标准、咨询电话及监督渠道等核心内容,并通过学校公告栏、微信公众号、村(社区)公示平台等多渠道向社会公开发布,保障招生工作公开透明、规范有序,严禁任何违规操作。

      (四)民办幼儿园 

      普惠性和非普惠性民办幼儿园面向社会自主招生,各园招生公告(或简章)须提前提交辖区中心幼儿园审核备案,审核通过后方可发布。严禁进行不实宣传,虚假承诺或超计划招生。各民办幼儿园应将收费项目和收费标准提前上报教育局备案,并在园门口“价格服务进校园”公示栏长期公示,主动接受家长及社会监督,严禁违规收费,保障家长知情权及幼儿合法权益。

      各园招生工作须在 8 月 22 日前完成,具体招生信息详见《福清市 2025 年秋季民办幼儿园招生信息表》(附件3)。

      (五)特殊教育学校举办的幼儿班

      特殊教育学校举办的幼儿班面向社会自主招生,其招生方式、招生人数、报名条件、招生时间等通过学校微信公众号向社会发布。 

      四、工作要求 

      (一)严控班额标准。根据《幼儿园工作规程》,小班25人、中班 30 人、大班 35 人,杜绝“大班额”现象,确保办园质量,促进幼儿健康成长。 

      (二)严肃招生纪律。各幼儿园须成立以园长为第一责任人的招生工作领导小组,在招生启动前与教育局签订《招生工作廉政责任书》,依法依规开展招生工作。对招生过程中出现的违纪违规行为“零容忍”,一经查实严肃处理,全力维护招生工作的公平性、严肃性和规范性。 

      (三)优化服务保障。招生期间,各幼儿园需制定完善的突发事件应急预案,设立招生咨询电话,安排专人答疑解惑。以热情耐心的态度做好政策解读与宣传工作,主动化解招生矛盾,畅通信息沟通渠道,及时、准确、便捷地为家长提供全方位服务。

      (四)严禁违规收费。各级各类幼儿园应提前向社会公示收费项目及标准,自觉接受发改、财政、审计等部门监督检查。严禁以任何名义收取与入园挂钩的赞助费、捐资助学费等违规费用,不得借开办实验班、特色班、兴趣班等名义额外收费,确保收费公开透明。 

      (五)规范入园体检。严格落实国家《托儿所幼儿园卫生保健管理办法》及《托儿所幼儿园卫生保健工作规范》要求,幼儿入园前须到妇幼保健机构或指定医疗机构完成规定项目体检,体检合格者方可办理入园手续。

      五、其他

      为加快推进托幼一体化建设,2025 年秋季,在福清市机关幼儿园(阳下园区)、福清市教师进修学校附属幼儿园、福清市龙田中心幼儿园等 3 所示范性公办幼儿园中开设托班,开展托育服务试点工作。此次试点面向社会招收2—未满3 周岁(2022年9月 1 日至 2023 年 8 月 31 日期间出生)的适龄儿童,有关招生计划、招生方式、报名条件、报名时间等详细信息,各试点幼儿园将通过官方微信公众号向社会发布。

      六、招生信息查询方式

      官 网:福清市人民政府网 

      微信公众号:福清市教育局微学堂

      七、本《意见》由福清市教育局负责解释,未尽事宜按照福州市教育局相关文件执行。

      附件: 

      1.福清市2025年秋季中心城区公办幼儿园招生信息表

      2.福清市2025年秋季镇(街)中心幼儿园招生信息表

      3.福清市2025年秋季民办幼儿园招生信息表

      

    举报

你的回答

单击“发布您的答案”,即表示您同意我们的服务条款